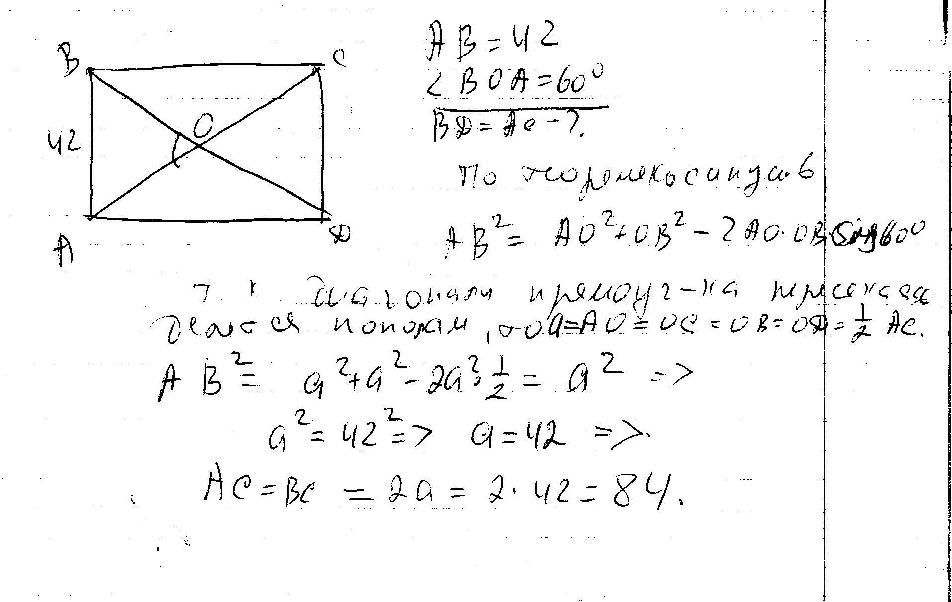
1.меньшая сторона прямоугольника равна 42,диагонали пересекаются под углом 60 градусов. найдите диагонали прямоугольника. 2. периметр параллелограмма равен 28. одна сторона параллелограмма на 11 больше другой. найдите меньшую сторону параллелогамма
Ответы
Ответ дал:
0
решение в скане................
Приложения:
Вас заинтересует
2 года назад
2 года назад
2 года назад
7 лет назад
7 лет назад
9 лет назад
9 лет назад