• Предмет: Математика
  • Автор: саша1367
  • Вопрос задан 2 года назад

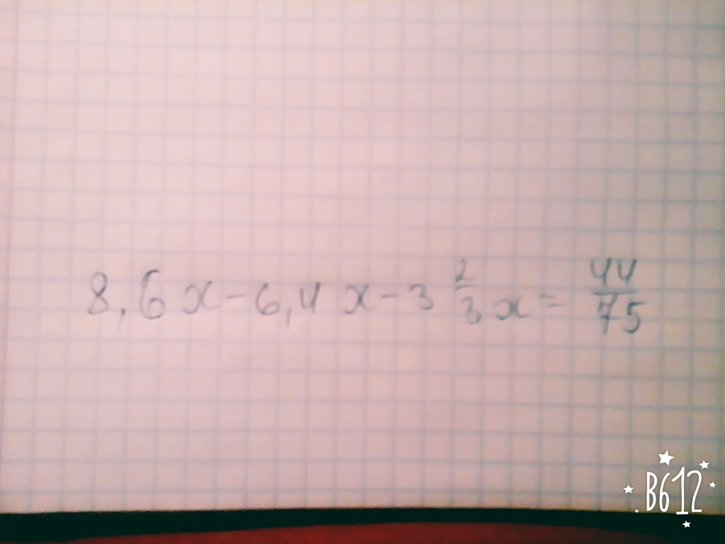
допоможіть з рівнянням

Приложения:

Аноним: сложнааааа

Ответы

Ответ дал: Маг221
1

8,6х - 6,4х - 3 2/3х = -44/75
2 6/30х - 3 20/30х = -44/75

-1 14/30х = -44/75

1 7/15х = 44/75

22/15х = 44/75

х = 2/5
Ответ: 2/5

Вас заинтересует