• Предмет: Математика
  • Автор: morozdemon
  • Вопрос задан 3 года назад

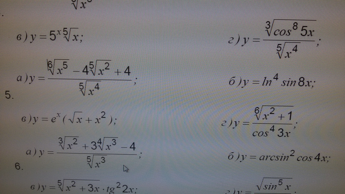
Помогите пожалуйста решить задания под 5 цифрой , а,б,в,г.

Приложения:

Ответы

Ответ дал: сева14
0
надо производную найти????

morozdemon: Найти производные данных функций
morozdemon: да
сева14: я сделаю через час ОК?
morozdemon: ок спасибо
Вас заинтересует