• Предмет: Математика
  • Автор: Milkovskaya
  • Вопрос задан 2 года назад

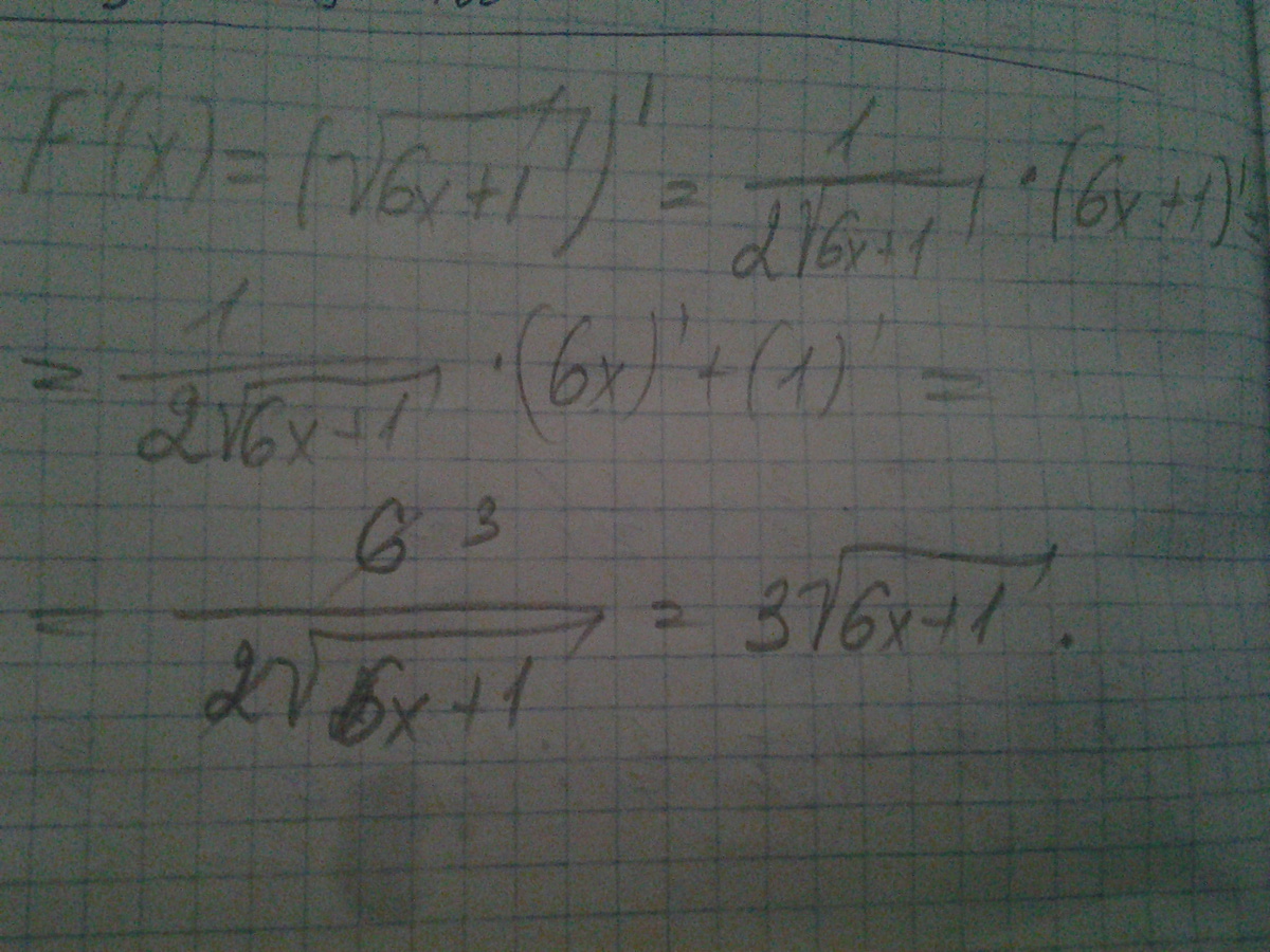
помогите найдите производную
!

Приложения:

Ответы

Ответ дал: motylskaya
1
Ответ во смотрите вложении.
Приложения:
Вас заинтересует