• Предмет: Алгебра
  • Автор: nnabatchikova
  • Вопрос задан 2 года назад

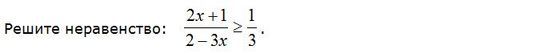
Помогите алгебра...............

Приложения:

Ответы

Ответ дал: vanek59022
0
вместо знака не равенства представь равно и реши
Вас заинтересует