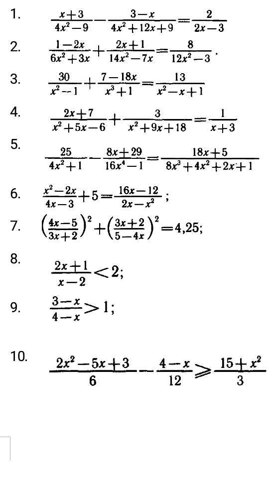
Ребят пожалуйста решите 3,6,7,8,9,10
Приложения:

Tanya11062000:
много хочешь за 5 баллов
Ответы
Ответ дал:
1
один подробно, остальные по образу и подобию
в (6) одз: х не равен 3/4, 0, 2
и везде нужно одз писать
в (6) одз: х не равен 3/4, 0, 2
и везде нужно одз писать
Приложения:

Вас заинтересует
1 год назад
1 год назад
2 года назад
2 года назад
7 лет назад
7 лет назад