Ответы
Ответ дал:
2
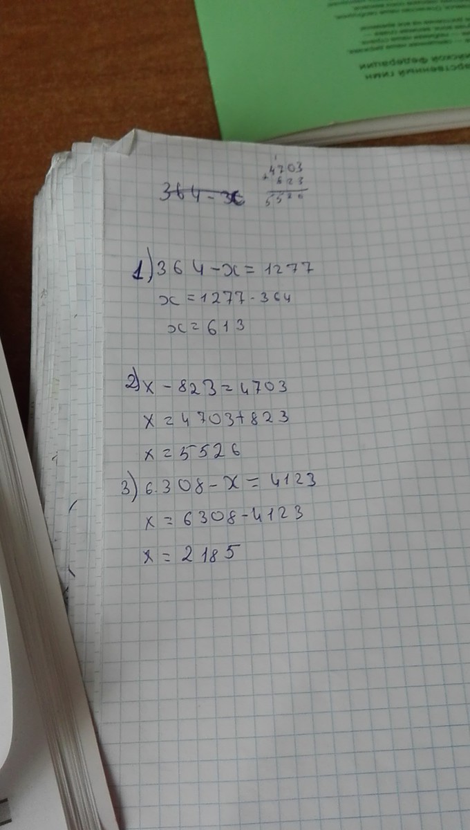
3564-х=1277
x=3564-1277
x=2287
х-823=4703
x=4703+823
x=5526
6308-х=4123
x=6308-4123
x=2185
x=3564-1277
x=2287
х-823=4703
x=4703+823
x=5526
6308-х=4123
x=6308-4123
x=2185
Ответ дал:
0
00000000000000000000000000000000000000
Приложения:
Вас заинтересует
2 года назад
2 года назад
2 года назад
2 года назад
7 лет назад
9 лет назад
9 лет назад