Ответы
Ответ дал:
1
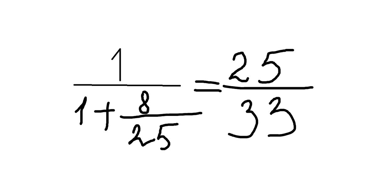
1+8/25=25/25+8/25=33/25
1/33/25 это 1 умножить на 25/33
1/33/25 это 1 умножить на 25/33
Ответ дал:
1
Представь единицу как
.
Получим:

.
При делении дробь переворачивается.
Получим:
При делении дробь переворачивается.
Вас заинтересует
2 года назад
2 года назад
2 года назад
7 лет назад
7 лет назад
9 лет назад
9 лет назад