Всем привет.Помогите пожалуйста,мне очень нужно!
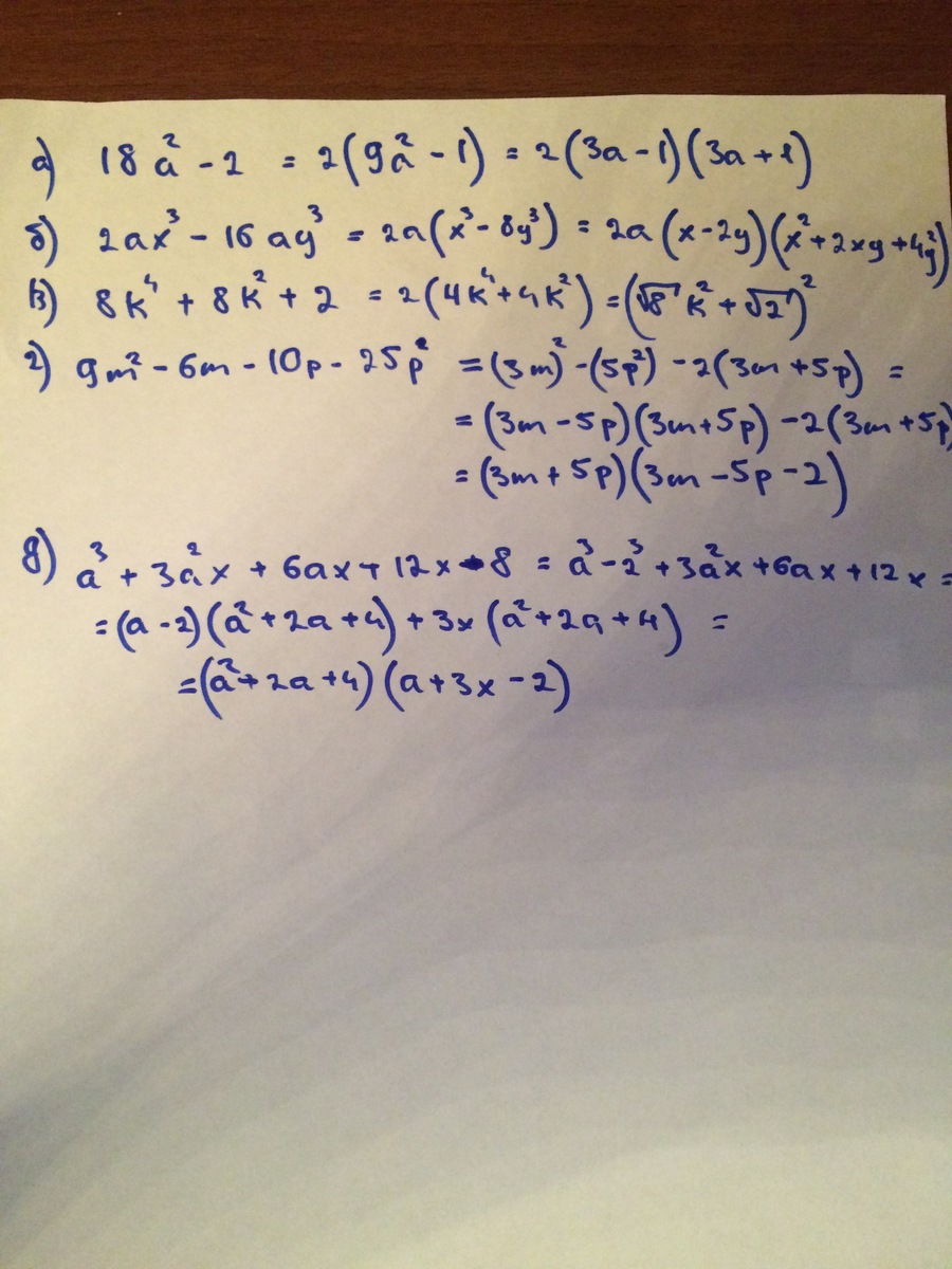
1.Разложите на множители:
а)18a^2 - 2
б)2ax^3 - 16ay^3
в)8k^4 + 8k^2 + 2
г)9m^2 - 6m -10p-25p^2
д)a^3 + 3a^2x + 6ax + 12x - 8
Ответы
Ответ дал:
1
В примере в) второе действие можно опустить. Итоговый ответ из него не следует.
Приложения:

Tini24:
Благодарю))
Вас заинтересует
1 год назад
2 года назад
2 года назад
7 лет назад
8 лет назад