• Предмет: Алгебра
  • Автор: hornetomsk
  • Вопрос задан 2 года назад

четные номера
помогите пожалуйста))))

Приложения:

OPetroW: Тебе это срочно?
hornetomsk: нет просто нужна помощь
OPetroW: Номера 2,4,6?
hornetomsk: да
OPetroW: Подожди минут 20..
OPetroW: Я сейчас сделаю на листках и выложу фотографии сюда
hornetomsk: ок
hornetomsk: я тоже пока начну
OPetroW: Последний номер делаю
hornetomsk: ок

Ответы

Ответ дал: OPetroW
3
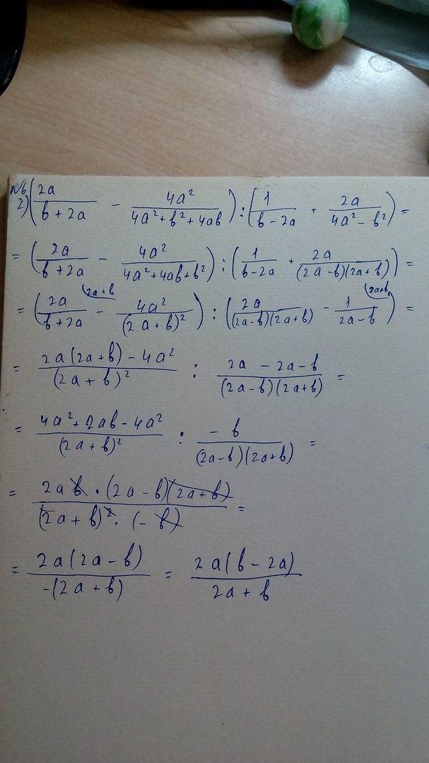
Вот тебе фотографии.
Первая фотография - номер 2 (1-4)
Вторая фотография - номер 4 (1-2)
Третья фотография - номер 6 (1)
Четвёртая фотография - номер 6 (2)
Приложения:

hornetomsk: спасибо выручил
OPetroW: Не за что)
Вас заинтересует