Ответы
Ответ дал:
0
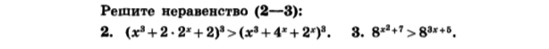
( X^3 + 2 * 2 ^ X + 2) ^ 3 > ( X^3 + 4 ^ X + 2 ^ X ) ^ 3
показатели степеней равны ( 3 = 3 )
X^3 + 2 ^ ( X + 1 ) + 2 > X^3 + 2 ^ 2X + 2 ^ X
2 ^ ( X + 1 ) + 2 > 2 ^ 2X + 2 ^ X
2 ^ X = A ; a > 0 ;
2a + 2 > a^2 + a
- a^2 + a + 2 > 0
D = 1 + 8 = 9 ; √ D = 3
a1 = ( - 1 + 3 ) : ( - 2 ) = - 1
a2= ( - 1 - 3 ): ( - 2 ) = 2
2 ^ X = A
X = 1 ; X > 1 ; ( 1 ; + ∞ )
-------------------------------------
8 ^ ( X^2 + 7 ) > 8 ^ 3X + 5
X^2 + 7 > 3X + 5
X^2 - 3X + 2 > 0
D = 9 - 8 = 1 ; √ D = 1
X1 = ( 3 + 1 ) : 2 = 2
X2 = ( 3 - 1 ) : 2 = 1
( X - 2 )*( X - 1 ) > 0
показатели степеней равны ( 3 = 3 )
X^3 + 2 ^ ( X + 1 ) + 2 > X^3 + 2 ^ 2X + 2 ^ X
2 ^ ( X + 1 ) + 2 > 2 ^ 2X + 2 ^ X
2 ^ X = A ; a > 0 ;
2a + 2 > a^2 + a
- a^2 + a + 2 > 0
D = 1 + 8 = 9 ; √ D = 3
a1 = ( - 1 + 3 ) : ( - 2 ) = - 1
a2= ( - 1 - 3 ): ( - 2 ) = 2
2 ^ X = A
X = 1 ; X > 1 ; ( 1 ; + ∞ )
-------------------------------------
8 ^ ( X^2 + 7 ) > 8 ^ 3X + 5
X^2 + 7 > 3X + 5
X^2 - 3X + 2 > 0
D = 9 - 8 = 1 ; √ D = 1
X1 = ( 3 + 1 ) : 2 = 2
X2 = ( 3 - 1 ) : 2 = 1
( X - 2 )*( X - 1 ) > 0
Вас заинтересует
2 года назад
2 года назад
2 года назад
9 лет назад