Ответы
Ответ дал:
0
Вот, только проверь вычисления ещё раз
Приложения:
Ответ дал:
0
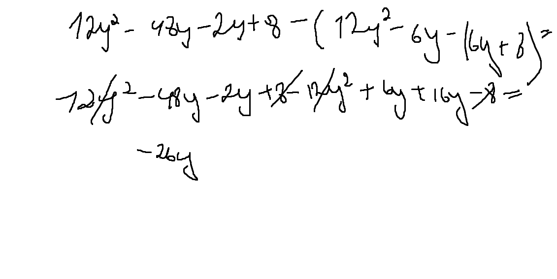
(6y-1)(2y-8)-(3y-4)(4y-2)
12y^2-48y-2y+8-12y^2-6y-4y+8
-48y-2y+8-6y-4y+8
-60y+16=0
-60y=-16
y=3,75
3,75
12y^2-48y-2y+8-12y^2-6y-4y+8
-48y-2y+8-6y-4y+8
-60y+16=0
-60y=-16
y=3,75
3,75
Вас заинтересует
2 года назад
2 года назад
2 года назад
2 года назад
7 лет назад
7 лет назад
9 лет назад