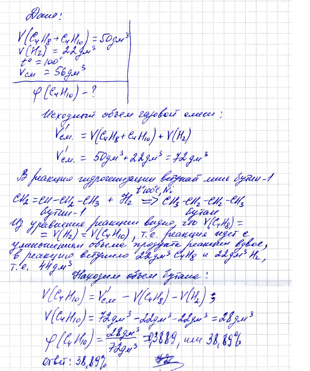
в газообразную смесь объёмом 50 дм3, состоящую бутина-1 и бутана, добавиливодород объёмом 22 дм3 и при температуре 100 градусов цельсия выдержали над никелевым катализатором. После полного завершения реакции объём смеси стал равен 56 дм3. Рассчитайте объёмную долю (%) бутана в исходной смеси.Все объёмы измерены при одинаковых условиях.
Ответы
Ответ дал:
6
решение задачи см. во вложении
Приложения:

zalmaks:
Благодарю вас
Вас заинтересует
1 год назад
2 года назад
2 года назад
7 лет назад
8 лет назад