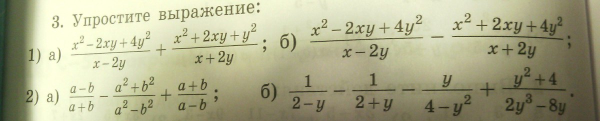
помогите решить пожалуйста
Приложения:

MADI050:
да
Ответы
Ответ дал:
1
исходные писал не везде. Здесь б), в)3 г). В а), по-моему, описка в примере. Написал решение а), как я думаю должно быть
Приложения:


Вас заинтересует
1 год назад
2 года назад
2 года назад
7 лет назад
7 лет назад
8 лет назад