• Предмет: Математика
  • Автор: kotyol98
  • Вопрос задан 2 года назад

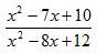
Вычислить значение выражения по формуле (все переменные принимают действительные значения):

Приложения:

Ответы

Ответ дал: botka4aet
1
(x-2)(x-5)/(x-2)(x-6)

(x-5)/(x-6)



Вас заинтересует