• Предмет: Алгебра
  • Автор: LeraNikonovich
  • Вопрос задан 2 года назад

Помогите пожалуйста!!!!Мне надо сделать 5 номеров из алгебры,3 из геометрии и теория вероятности хотя бы один

Приложения:

Ответы

Ответ дал: GraceNorman
0

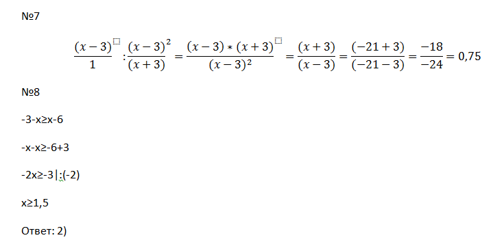
На закрепленном файле: модуль алгебра 7,8
№15
140-60=80
Ответ: 80
№16
950-100%
893-x%
Составим и решим уравнение:
950/893=100%/x%
1) 893*100/950=94
2) 100%-94%=6%
Ответ: 6
№19
147/150=0,98
Ответ: 0,98
Надеюсь,что так с:

Приложения:
Вас заинтересует
2 года назад