• Предмет: Физика
  • Автор: Акушерка
  • Вопрос задан 11 лет назад

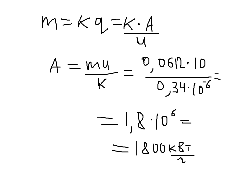
При электролизе водного раствора ZnSO4 выделилось 61,2 г цинка. Определить затраченную энергию электрического тока, если напряжение на зажимах ванны 10 В.ответь выразить в кВт*ч

Ответы

Ответ дал: bender337
0

111111111111111111111111111111111111111

Приложения:
Вас заинтересует