• Предмет: Алгебра
  • Автор: mlando355
  • Вопрос задан 11 лет назад

Вычислите интегралы, буду очень признателен)

 

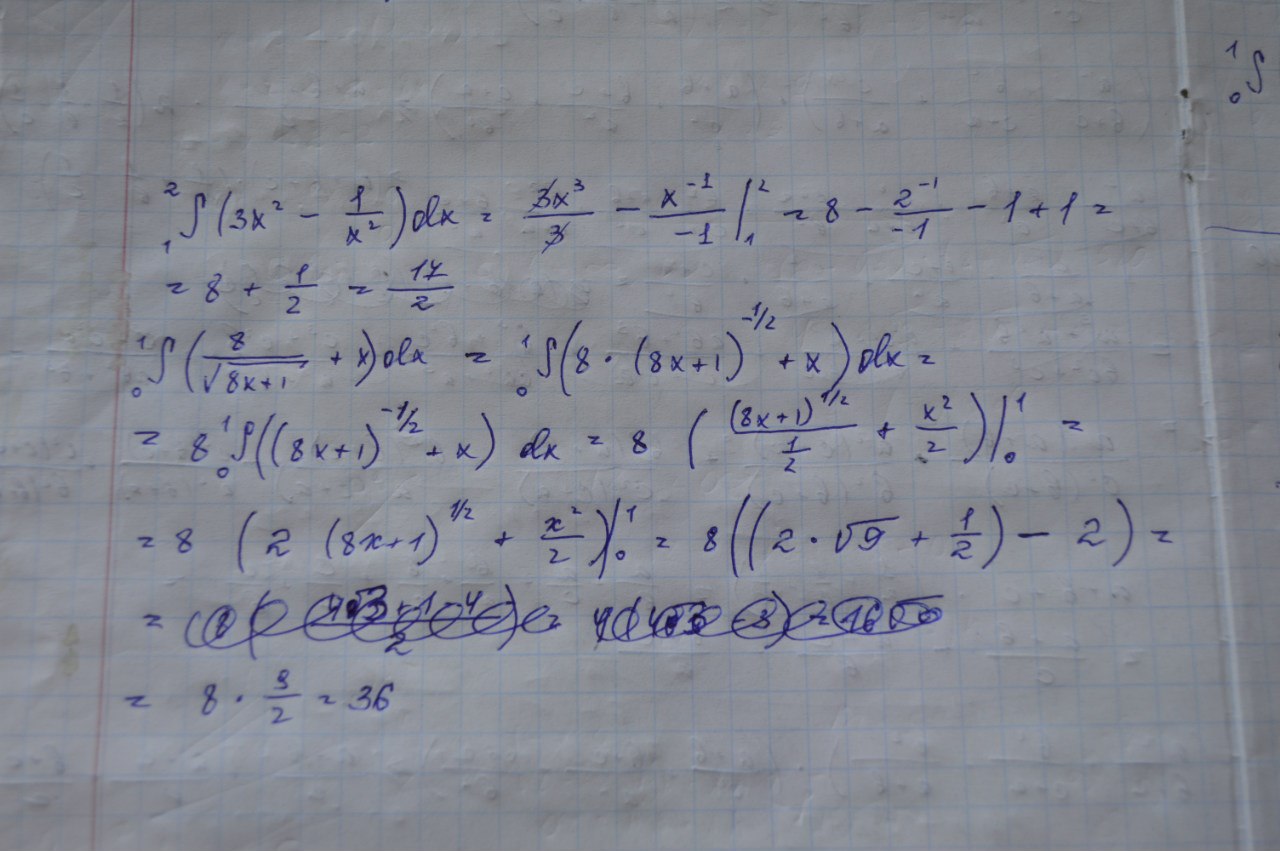
1)  от 2 до 1         (3х^2 - 1/x^2)dx

 

2)   от П4 до П6     

 

3)   от 1 до 0           ( 8 делить на корень из 8x+1   +x)

 

Если можно, то с фото решения или в латексе, пожалуйста. 

Ответы

Ответ дал: Askabana
0

sdbhxfbjgcfuny789097-0

Приложения:
Ответ дал: Susan4ik
0

вот держи, по-моему, так!                                                                                                                              

Приложения:
Вас заинтересует