• Предмет: Физика
  • Автор: Акушерка
  • Вопрос задан 11 лет назад

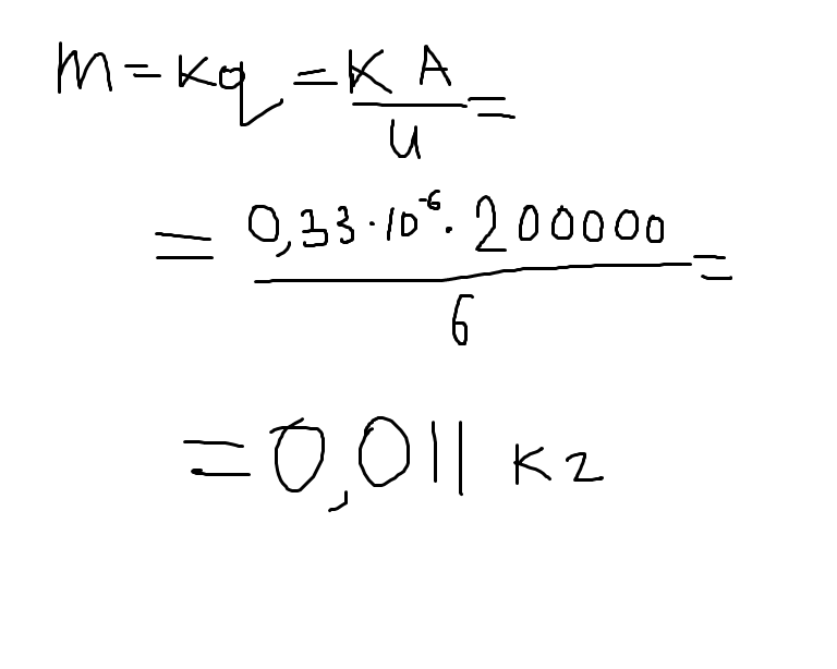
При электролизе водного раствора CuSO4 была совершена работа 200 кВт*ч. Определить массу полученной меди,если напряжение на зажимах ванны 6В

Ответы

Ответ дал: bender337
0

1111111111111111111111111111111111111111111111

Приложения:
Вас заинтересует