• Предмет: Алгебра
  • Автор: Nicita10011
  • Вопрос задан 2 года назад

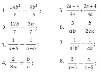
помогите Пж срочно надо

Приложения:

777Helen: Не могу отправить тебе ответы, эти двое всё место заняли
Nicita10011: Тут в лс можно?

Ответы

Ответ дал: 777Helen
0
Смотри решение во вложении
Приложения:
Вас заинтересует