• Предмет: Физика
  • Автор: BlackStarWorld
  • Вопрос задан 11 лет назад

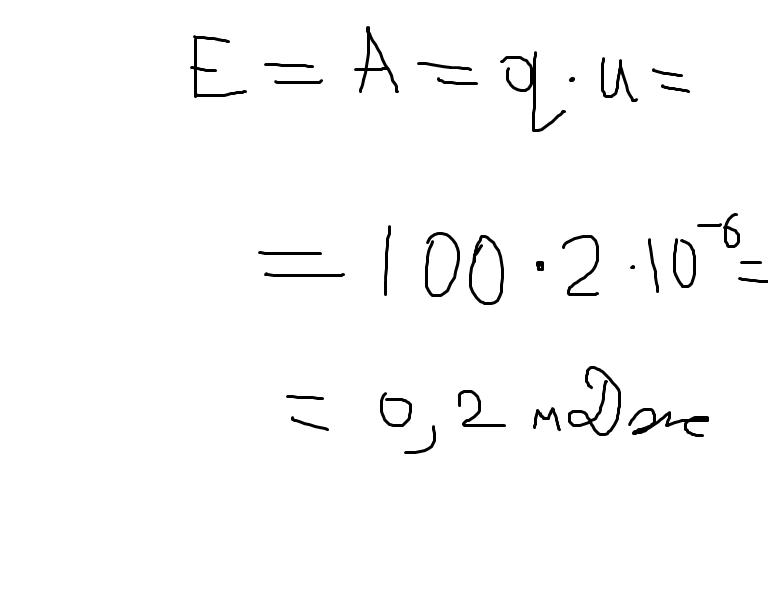
Нужно решение полное! Какую кинетическую энергию приобретает заряжённая частица, пройдя в электрическом поле разность потенциалов 100 В.( заряд частицы 2 мкКл. Начальная скорость равна нулю.)

Ответы

Ответ дал: bender337
0

11111111111111111111111111111111111111

Приложения:
Вас заинтересует