Помогите пожалуйста с уравнениями, заранее спасибо большое
Приложения:

andry7777:
Я решу но баллов за 20 минимум
Ответы
Ответ дал:
0
а)9х в квадрате -30х+25=9х в квадрате
9х в квадрате-9х в квадрате-30х=-25
-30х=-25
30х=25
х=6/5=1,20
б)4х в квадрате +12х +9=8х в квадрате +12х
4х в квадрате -8х в квадрате-12х+12х=-9
-4х в квадрате=-9
4х в квадате=9
х=1,5
9х в квадрате-9х в квадрате-30х=-25
-30х=-25
30х=25
х=6/5=1,20
б)4х в квадрате +12х +9=8х в квадрате +12х
4х в квадрате -8х в квадрате-12х+12х=-9
-4х в квадрате=-9
4х в квадате=9
х=1,5
Ответ дал:
0
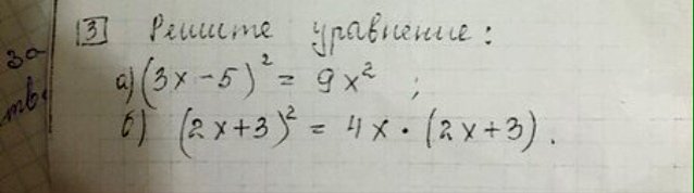
а)(3х-5)^2=9х^2
9х^2-30х+25=9х^2
-30х=-25
х=5/6
б)(2х+3)^2=4х(2х+3)
4х^2+12х+9=8х^2+12х
-4х^2=-9
х^2=9/4
х=1,5 и -1,5
9х^2-30х+25=9х^2
-30х=-25
х=5/6
б)(2х+3)^2=4х(2х+3)
4х^2+12х+9=8х^2+12х
-4х^2=-9
х^2=9/4
х=1,5 и -1,5
Вас заинтересует
1 год назад
2 года назад
2 года назад
7 лет назад
8 лет назад
8 лет назад