Ответы
Ответ дал:
0
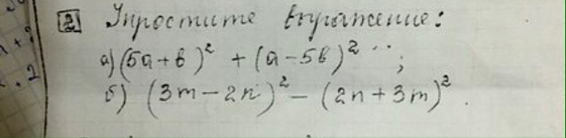
1) (5а+b)^2+(a-5b)^2 = (25a^2+10ab+b^2)+(a^2-10ab+25b^2) =
25a^2+10a+b^2+a^2-10ab+25b^2 = 26a^2+26b^2 = 26(a^2+b^2)
2) (3m-2n)^2-(2n+3m)^2 = (9m^2-12mn+4n^2)-(4n^2+12mn+9m^2) = 9m^2-12mn+4n^2-4n^2-12mn+9m^2 = 18m^2-24mn=6m(3m-4n)
25a^2+10a+b^2+a^2-10ab+25b^2 = 26a^2+26b^2 = 26(a^2+b^2)
2) (3m-2n)^2-(2n+3m)^2 = (9m^2-12mn+4n^2)-(4n^2+12mn+9m^2) = 9m^2-12mn+4n^2-4n^2-12mn+9m^2 = 18m^2-24mn=6m(3m-4n)
Ответ дал:
0
решение
1) 25а (в квадрате)+10ав+в(в квадрате)+а(в квадрате)-10ав-25в(в квадрате).=25а(в квадрате)+в(в квадрате)+а (в квадрате)+25в(в квадрате)
2)9m(в квадрате)-12nm+4n(в квадрате)-4n(в квадрате)-12mn-9m(в квадрате)=
-26mn
1) 25а (в квадрате)+10ав+в(в квадрате)+а(в квадрате)-10ав-25в(в квадрате).=25а(в квадрате)+в(в квадрате)+а (в квадрате)+25в(в квадрате)
2)9m(в квадрате)-12nm+4n(в квадрате)-4n(в квадрате)-12mn-9m(в квадрате)=
-26mn
Вас заинтересует
2 года назад
2 года назад
2 года назад
7 лет назад
9 лет назад
9 лет назад