Ответы
Ответ дал:
0
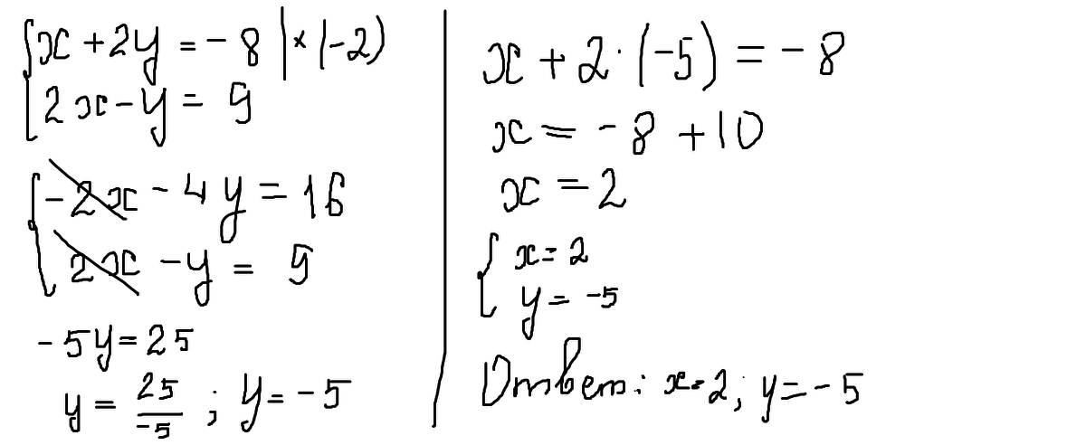
Ответ (2; -5)
Ответ дал:
0
Ответ: х=2, у=-5.
_____________
_____________
Приложения:

Вас заинтересует
1 год назад
1 год назад
2 года назад
7 лет назад
8 лет назад