• Предмет: Алгебра
  • Автор: marinkamail2
  • Вопрос задан 2 года назад

Помогите, очень срочно!!! Не получается решить систему уравнений. Фото прикреплено.Огромное человеческое спасибо тому, кто поможет=)

Приложения:

Ответы

Ответ дал: okneret
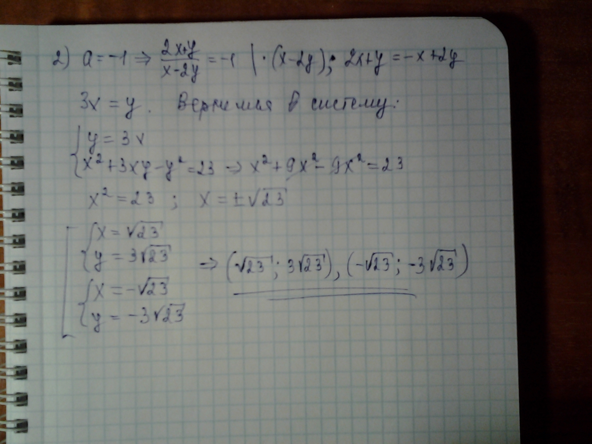
1
Использована замена переменной
Приложения:

marinkamail2: Спасибо оргоиное)
Вас заинтересует