Ответы
Ответ дал:
1
Складываем целую часть с целой, дробную с дробной
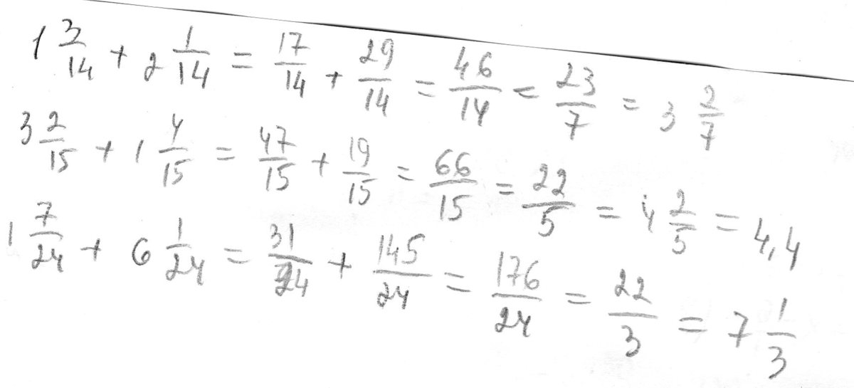
А) 1 целых 3\14 + 2 целых 1\14 = (1+2) + (3/14 +1/14)= 3 4/14= 3 2/7
Б) 3 целых 2\15 + 1 целых 4\15 =(3+1) + (2/15+4/15)= 4 6/15 = 4 2/5
В) 1 целых 7\24 +6 целых 1\24 = (1+6) + (7/24+1/24) = 7 8/24 = 7 1/3
А) 1 целых 3\14 + 2 целых 1\14 = (1+2) + (3/14 +1/14)= 3 4/14= 3 2/7
Б) 3 целых 2\15 + 1 целых 4\15 =(3+1) + (2/15+4/15)= 4 6/15 = 4 2/5
В) 1 целых 7\24 +6 целых 1\24 = (1+6) + (7/24+1/24) = 7 8/24 = 7 1/3
Ответ дал:
1
смотри решение во вложении
Приложения:

lentomsk:
Зачем усложнять, переводя смешанное число в неправильную дробь? Мне просто интересно. :)
Вас заинтересует
1 год назад
2 года назад
2 года назад
7 лет назад
8 лет назад