• Предмет: Математика
  • Автор: Нелька8
  • Вопрос задан 2 года назад

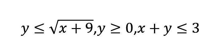
Найти площадь фигуры, ограниченной линиями :

Приложения:

Ответы

Ответ дал: lara164
0
**************************************
Приложения:
Вас заинтересует