• Предмет: Математика
  • Автор: Сила100
  • Вопрос задан 2 года назад

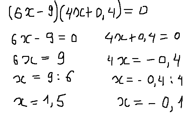
Найдите корни уравнения:(6x-9)*(4x+0,4)=0

Ответы

Ответ дал: seredaed
0

6х-9 = 0  или 4х + 0,4 = 0

х = 1,5           х = - 0,1

Ответ дал: kristina00
2
решение на фото)))))))))))
Приложения:
Вас заинтересует