• Предмет: Алгебра
  • Автор: artemkasqufty
  • Вопрос задан 10 лет назад

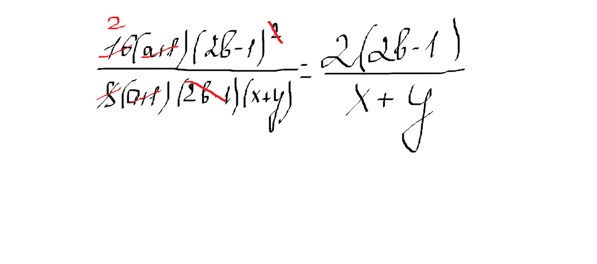
сократите дробь: 16(a+1)(2b-1)^2/8(a+1)(2b-1)(x+y)^3

Ответы

Ответ дал: alinkakislyak
0
Всё сокращение на рисунке.
Приложения:
Вас заинтересует