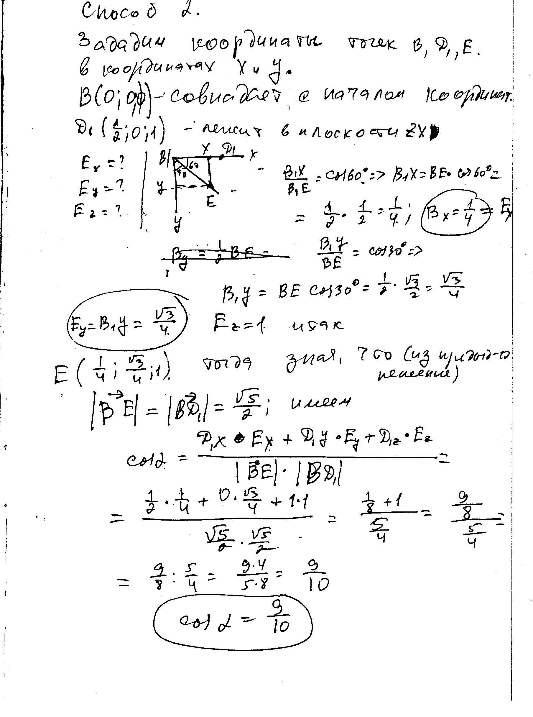
В правильной треугольной призме A...C1,все ребра которой равны 1,точки D,E-середины ребер соответственно A1B1 и B1C1.Найдите косинус угла между прямыми AD и BE.
НЕ СМЕТЬ ПЛАГИАТИТЬ.
Ответы
Ответ дал:
0
Решил двумя способами. Выберите подходящий для себя.
Решение в скане................
Решение в скане................
Приложения:


Вас заинтересует
2 года назад
2 года назад
8 лет назад
8 лет назад
10 лет назад
10 лет назад