• Предмет: Математика
  • Автор: VasyanDoctor
  • Вопрос задан 10 лет назад

Помогите пожалуйста!)
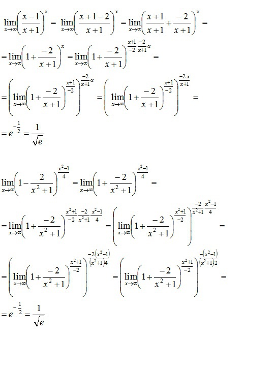
1. lim_{x to infty} (  frac{x-1}{x+1}) ^{x}  <br /><br />2.  lim_{x to infty} ( 1- frac{2}{x^2+1})^ frac{x^2-1}{4}

Ответы

Ответ дал: kirichekov
0
решение во вложении-----------------------------
Приложения:
Вас заинтересует