• Предмет: Алгебра
  • Автор: Bitard410
  • Вопрос задан 10 лет назад

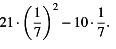
Найдите значение выражения

Приложения:

Ответы

Ответ дал: dianachernova1
0
(1/7)^2-10*1/7=1/49-10/7(находим НОЗ)=(1-70)/49=-69/49

Вас заинтересует
3 года назад