Ответы
Ответ дал:
0
1)13/7-8/5=65/35-56/35=9/35, 2)(9/35)/(1/70)=18
Ответ дал:
0
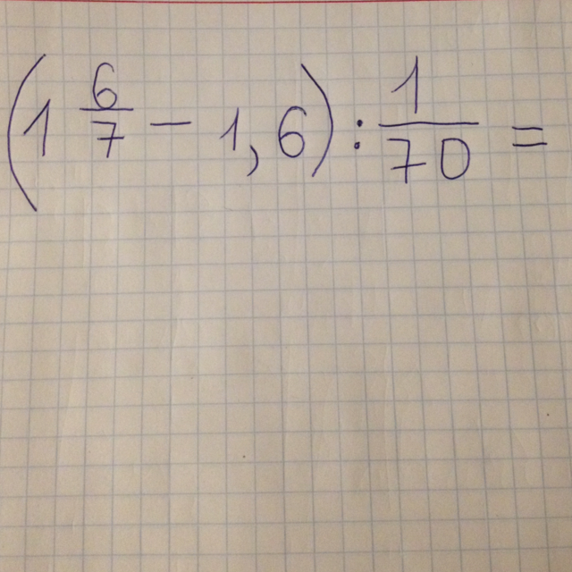
(1_6/7-1,6):1/70.
1. 1_6/7=13/7=130/70;
2. 1,6= 16/10=112/70;
3. 130/70-112/70=18/70;
4. 18/70:1/70=18/70*70;
5. 18/70*70=18.
Ответ: 18.
P.S.: 1_6/7, это одна целая, шесть седьмых.
1. 1_6/7=13/7=130/70;
2. 1,6= 16/10=112/70;
3. 130/70-112/70=18/70;
4. 18/70:1/70=18/70*70;
5. 18/70*70=18.
Ответ: 18.
P.S.: 1_6/7, это одна целая, шесть седьмых.
Вас заинтересует
2 года назад
8 лет назад
8 лет назад
10 лет назад
10 лет назад