Ответы
Ответ дал:
0
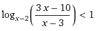
logx-2(3x-10)-logx-2(x-3)<1
ОДЗ:
x-2>0 x>2
x-2 не равно 1 x не равен 3
3x-10>0 x>10/3
x-3>0 x>3
Решение ОДЗ:(10/3; + беск.)
logx-2(3x-10)< logx-2(x-3)+1
logx-2(3x-10)<logx-2(x-3) + logx-2(x-2)
logx-2(3x-10)<logx-2(x-3)(x-2)
Решаем методом рационализации:
(x-2-1)(3x-10-(x-3)(x-2))<0
(x-3)(3x-10-(x^2-2x-3x+6))<0
(x-3)(3x-10-(x^2-5x+6)<0
(x-3)(3x-10-x^2+5x-6)<0
(x-3)(-x^2+8x-16)<0
(x-3)(x^2-8x+16)>0
(x-3)(x-4)^2>0
x e (3;4)U(4:+ беск.)
Решением неравенства с учетом ОДЗ является промежуток:
x e (10/3;4)U(4:+ беск.)
ОДЗ:
x-2>0 x>2
x-2 не равно 1 x не равен 3
3x-10>0 x>10/3
x-3>0 x>3
Решение ОДЗ:(10/3; + беск.)
logx-2(3x-10)< logx-2(x-3)+1
logx-2(3x-10)<logx-2(x-3) + logx-2(x-2)
logx-2(3x-10)<logx-2(x-3)(x-2)
Решаем методом рационализации:
(x-2-1)(3x-10-(x-3)(x-2))<0
(x-3)(3x-10-(x^2-2x-3x+6))<0
(x-3)(3x-10-(x^2-5x+6)<0
(x-3)(3x-10-x^2+5x-6)<0
(x-3)(-x^2+8x-16)<0
(x-3)(x^2-8x+16)>0
(x-3)(x-4)^2>0
x e (3;4)U(4:+ беск.)
Решением неравенства с учетом ОДЗ является промежуток:
x e (10/3;4)U(4:+ беск.)
Вас заинтересует
2 года назад
2 года назад
8 лет назад
10 лет назад
10 лет назад