• Предмет: Алгебра
  • Автор: Aletka
  • Вопрос задан 10 лет назад

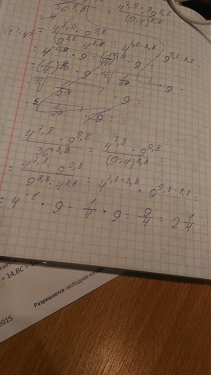
Решите пример плиз по математике

Приложения:

Ответы

Ответ дал: KsunikaLi69
0
Две целых одна четвертая
Ответ дал: Aletka
0
а как решали?
Ответ дал: KsunikaLi69
0
С начала записываем как степень , вычисляем показатель степени общего основания, потом вычисляем разность,степень и показатель степени общего основания и готово . Если вам нужен именно пример , то у себя я выложу два скриншота с решение
Ответ дал: Hauptperson
0
Что тут сложного? Просто нужно было немного подумать.
Приложения:
Ответ дал: Aletka
0
оох..точно..со свойствами степеней затупила...спасибо большое
Ответ дал: Hauptperson
0
Бывает
Вас заинтересует