Ответы
Ответ дал:
0
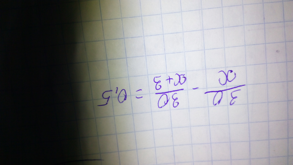
(30(х+3)-30х)/х*(х+3)=0,5
(30х+90-30х)=0,5*х*(х+3)
х(х+3)=90:0,5
х(х+3)=180
х^2+3х-180=0
наверное как то так
как дальше не знаю
(30х+90-30х)=0,5*х*(х+3)
х(х+3)=90:0,5
х(х+3)=180
х^2+3х-180=0
наверное как то так
как дальше не знаю
Вас заинтересует
3 года назад
3 года назад
8 лет назад
8 лет назад
10 лет назад
10 лет назад
10 лет назад