• Предмет: Алгебра
  • Автор: yulyaangelok12
  • Вопрос задан 11 лет назад

помогите решить задачу по алгебре (егэ)

Приложения:

Ответы

Ответ дал: Аноним
0

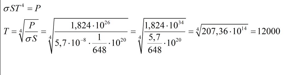
СМ.ВЛОЖЕНИЕ

===================================

Приложения:
Вас заинтересует