Логарифмическое неравенство.
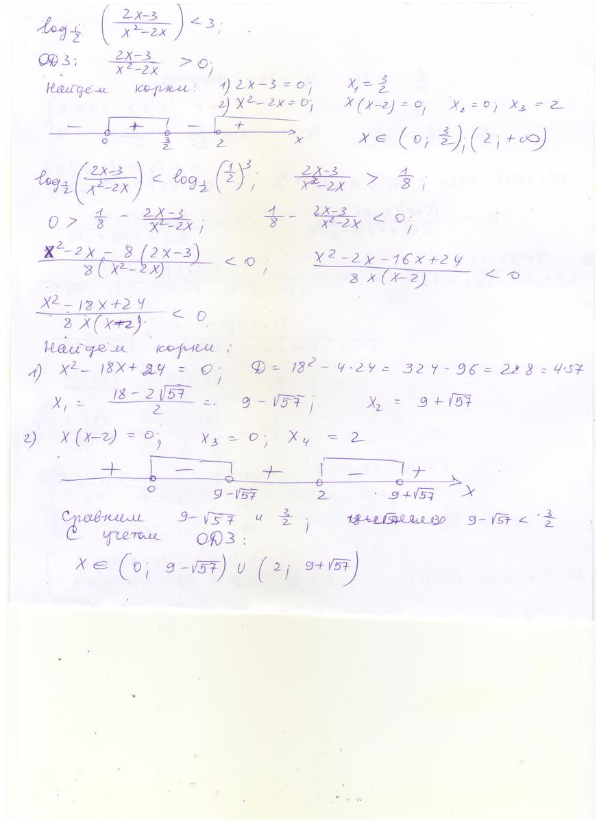
ИНТЕРЕСУЕТ, финальная стадия решения - метод интервалов со всеми знаками и т.д., то есть рисунок.
Остальное можно не писать.
Приложения:

Ответы
Ответ дал:
0
смотри приложенный файл
Приложения:


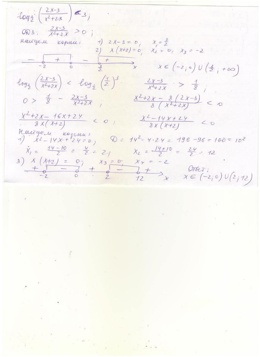
Ответ дал:
0
у тебя ошибка: x^2-2x, а в условии сложение
Вас заинтересует
2 года назад
7 лет назад
10 лет назад
10 лет назад
10 лет назад