Ответы
Ответ дал:
0
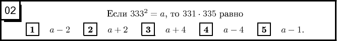
331*335 = (333-2)(333+2) = 
Ответ: a - 4
Ответ: a - 4
Вас заинтересует
3 года назад
3 года назад
8 лет назад
10 лет назад
10 лет назад