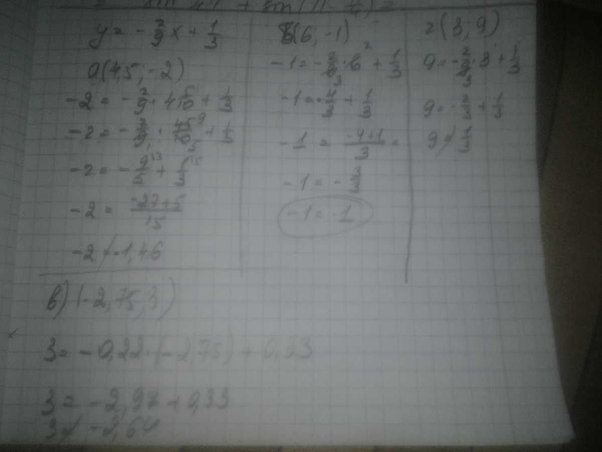
Пожалуйста очень надо.Какая точка принадлежит графику функции у=-2/9x+1/3?
a)(4,5;-2)
б)(6;-1)
в)(-2,75;3)
г)(3;9)
Ответы
Ответ дал:
0
Графику принадлежит точка б
Приложения:

Вас заинтересует
2 года назад
7 лет назад
7 лет назад
10 лет назад
10 лет назад
10 лет назад