• Предмет: Алгебра
  • Автор: serj53
  • Вопрос задан 10 лет назад

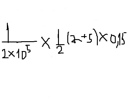
Помогите решить пример

Приложения:

Ответы

Ответ дал: skvrttt
0
1/(2 × 10⁵) × 1/2 × 12 × 0,15 = 1/200000 × 6 × 0,15 = 1/200000 × 0,9 = 0,0000045.
Вас заинтересует