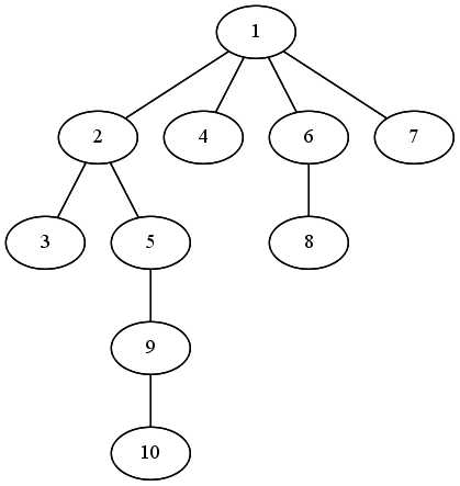
В данный граф можно добавить ровно одно новое ребро. Это необходимо сделать так, чтобы длина наибольшего цикла в получившемся графе была как можно больше.
Какую максимальную длину цикла вы можете получить?
Приложения:

Ответы
Ответ дал:
0
Соединяем 8 и 10, длина цикла равна 7.
Вас заинтересует
2 года назад
7 лет назад
7 лет назад
10 лет назад
10 лет назад