Ответы
Ответ дал:
0
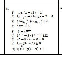
8)log1/8(8x-2)>=0 ОДЗ: 8x-2>0; x>1/4
log1/8(8x-2)>=log1/8(1)
8x-2<=1
8x<=3
x<=3/8
С учетом ОДЗ: x e (1/4;3/8]
9)lgx+lg(x-9)<1 ОДЗ: x>0; x>9
lgx(x-9)<lg10
x(x-9)-10<0
x^2-9x-10<0
x^2-9x-10=0
D=(-9)^2-4*1*(-10)=121
x1=(9-11)/2=-1 - посторонний корень
x2=(9+11)/2=10
____+_______(-1)_____-___(10)____+___
/////////////////////
С учетом ОДЗ: x e (9;10)
log1/8(8x-2)>=log1/8(1)
8x-2<=1
8x<=3
x<=3/8
С учетом ОДЗ: x e (1/4;3/8]
9)lgx+lg(x-9)<1 ОДЗ: x>0; x>9
lgx(x-9)<lg10
x(x-9)-10<0
x^2-9x-10<0
x^2-9x-10=0
D=(-9)^2-4*1*(-10)=121
x1=(9-11)/2=-1 - посторонний корень
x2=(9+11)/2=10
____+_______(-1)_____-___(10)____+___
/////////////////////
С учетом ОДЗ: x e (9;10)
Вас заинтересует
3 года назад
8 лет назад
10 лет назад
10 лет назад
10 лет назад