Ответы
Ответ дал:
0
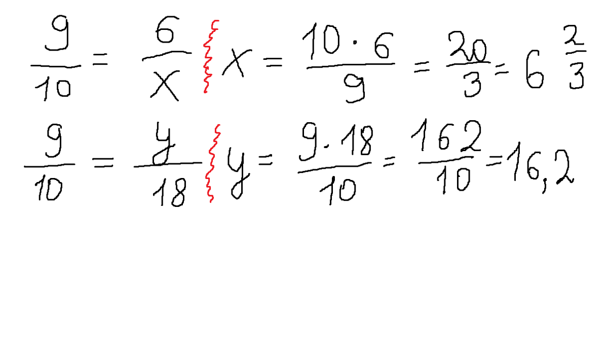
9/10 = 6/х = у/18.
х = 10*6/9 = 60/9 = 20/3 = 6 целых * 2/3
у = 9*18/10 = 16,2
х = 10*6/9 = 60/9 = 20/3 = 6 целых * 2/3
у = 9*18/10 = 16,2
Приложения:

Ответ дал:
0
а / это у тя деление да?
Ответ дал:
0
да
Ответ дал:
0
я добавил в мой ответ фотографию
Ответ дал:
0
там понятнее
Ответ дал:
0
ага спасибо)
Вас заинтересует
2 года назад
7 лет назад
9 лет назад
9 лет назад
10 лет назад