• Предмет: Математика
  • Автор: verkar1
  • Вопрос задан 10 лет назад

Решите уравнения:
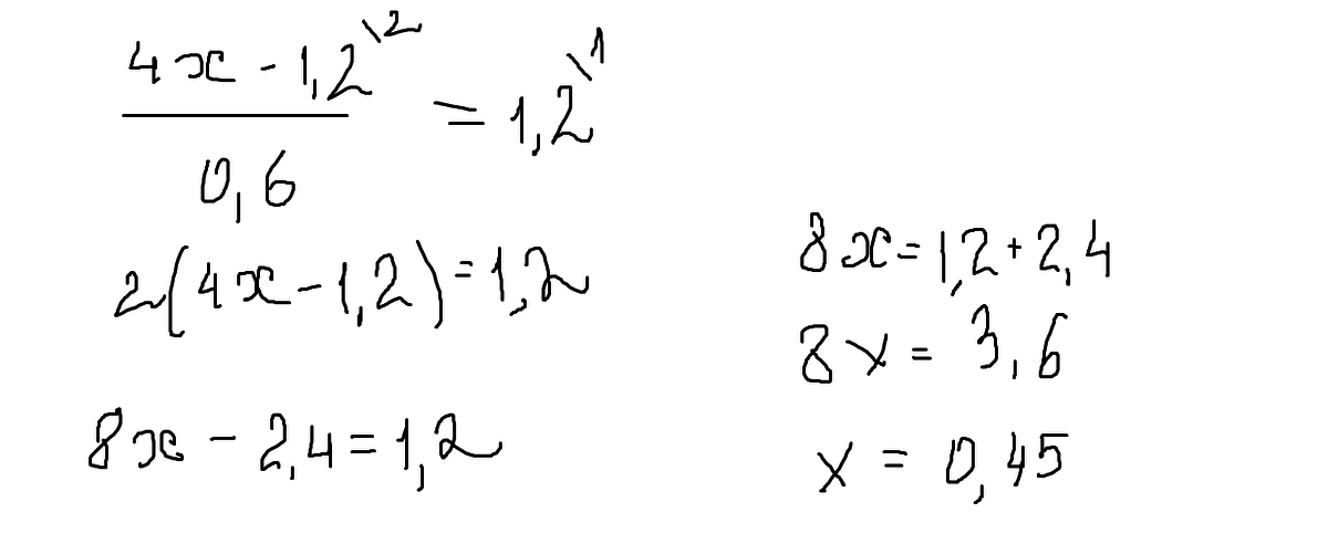
(4x-1,2):0,6=1,2
И задачу:
В первый день туристы прошли 40,5 километра,что составляет третью часть всего пути.Сколько километров составляет весь путь?

Ответы

Ответ дал: Darling04
0
1. кое что изменила, вот 
2. 40,5 *3=121,5 км. - весь путь.
Приложения:
Ответ дал: verkar1
0
Спасибо! Переходные экзамены блин!!
Вас заинтересует