• Предмет: Алгебра
  • Автор: BlackStar14
  • Вопрос задан 10 лет назад

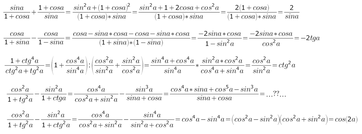
АЛГЕБРА 9 КЛАСС (a-это альфа) Упростите выражения: A)  frac{sina}{1+cosa} +  frac{1+cosa}{sina} B)  frac{cosa}{1+sina} -  frac{cosa}{1-sina} C)  frac{1+ctg^{4}a }{ctg ^{2}a+tg ^{2}a} D)  frac{cos^{2}a }{1+tg^{2}a } -  frac{sin ^{2}a }{1+ctg^{2}a }

Ответы

Ответ дал: LFP
0
----------------------------------
Приложения:
Ответ дал: oganesbagoyan
0
Сашулька294 , где нарушение ?
Вас заинтересует