Ответы
Ответ дал:
0
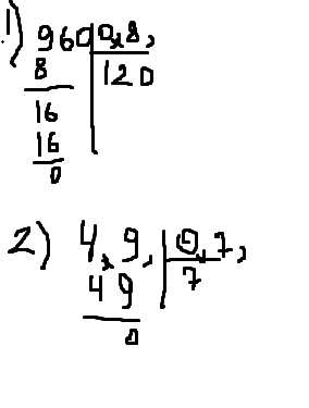
0.8x=96
x=96 .8
x=120
0.7x=4.9
x=4.9 .7
x=7
Крайне извиняюсь за мой столбик!
x=96 .8
x=120
0.7x=4.9
x=4.9 .7
x=7
Крайне извиняюсь за мой столбик!
Приложения:

Ответ дал:
0
Спасибо
Вас заинтересует
2 года назад
7 лет назад
10 лет назад