Ответы
Ответ дал:
0
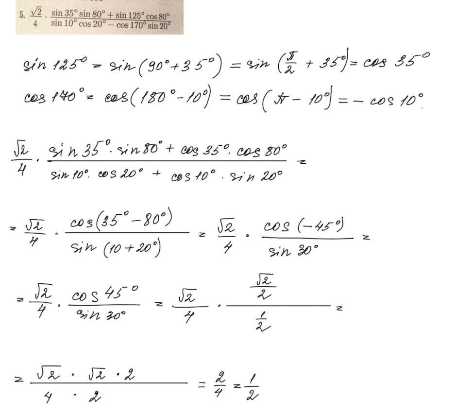
Преобразуем sin125° = sin(90°+35°) = +cos35°.
Рассмотрим числитель sin35°*sin80°+cos35°*cos80° = это формула косинуса разности = cos(80°-35°) = cos 45° = √2/2.
Преобразуем cos170° = cos(180°-10°) = -cos10°.
Рассмотрим знаменатель sin10°*cos20°+cos10°*sin20° = это формула синуса суммы = sin(10°+20°) = sin30° = 1/2.
Вычисляем √2/4 * (√2/2)/(1/2) = 1/2 = 0,5.
Рассмотрим числитель sin35°*sin80°+cos35°*cos80° = это формула косинуса разности = cos(80°-35°) = cos 45° = √2/2.
Преобразуем cos170° = cos(180°-10°) = -cos10°.
Рассмотрим знаменатель sin10°*cos20°+cos10°*sin20° = это формула синуса суммы = sin(10°+20°) = sin30° = 1/2.
Вычисляем √2/4 * (√2/2)/(1/2) = 1/2 = 0,5.
Ответ дал:
0
Решение в прикрепленном файле.
Приложения:
Вас заинтересует
3 года назад
8 лет назад
10 лет назад
10 лет назад