• Предмет: Математика
  • Автор: Аноним
  • Вопрос задан 10 лет назад

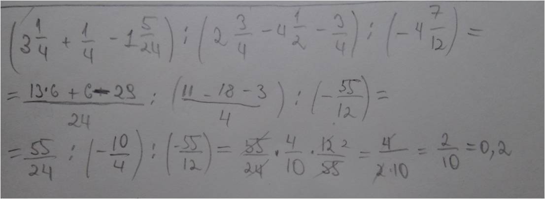
(3 1/4+0,25-1 5/24):(2 3/4-4 1/2-0,75):(-4 7/12) умоляю

Ответы

Ответ дал: Ноттерн
0
Как-то так............................ .....
Приложения:
Ответ дал: Аноним
0
это точно?
Ответ дал: Аноним
0
ну или хотя бы приблизительно?
Ответ дал: Ноттерн
0
А какой там ответ?
Ответ дал: Аноним
0
я не знаю
Вас заинтересует