• Предмет: Математика
  • Автор: nastyaonishchenko
  • Вопрос задан 10 лет назад

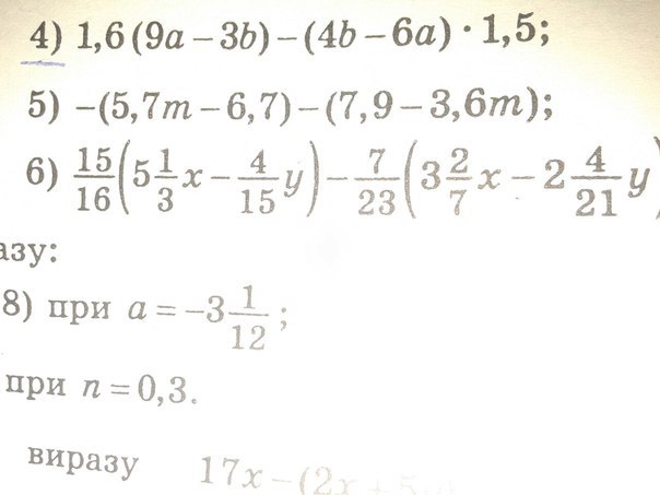
Привет! Помогите решить 4)1,6(9а-3б)-(4б-6а)*1,5 = ???

Приложения:

Ответы

Ответ дал: Alinkafed1999
0
1,6(9а-3б)-(4б-6а)*1,5 = 14,4а - 4,8б - 6б +9а = 23,4а - 10,8б
Ответ дал: Alinkafed1999
0
Остальные надо?
Ответ дал: nastyaonishchenko
0
нет) спс
Ответ дал: Alinkafed1999
0
Обращайся)
Вас заинтересует